Pengantar Filter Harmonik Pasif
Filter harmonisa atau harmonik pasif adalah rangkaian listrik yang terdiri dari kombinasi kapasitor (C) dan induktor (L) yang disusun sedemikian rupa agar dapat beresonansi pada frekuensi tertentu. Dalam sistem tenaga listrik, filter atau penyaring pasif ini berfungsi untuk menekan arus harmonik dan mengurangi distorsi tegangan, terutama pada area yang sensitif terhadap kualitas daya. —Omazaki Engineering adalah konsultan yang melayani jasa desain atau perancangan filter harmonik pasif. Hubungi kami jika anda membutuhkan desainer perencanaan filter harmonisa pasif dengan mengirimkan email ke cs@omazaki.co.id atau mengisi formulir di kontak.
———————————————
Pendahuluan
Cara kerja utama dari filter atau penyaring harmonisa pasif adalah dengan memanfaatkan karakteristik impedansi pada frekuensi resonansi. Filter yang dipasang secara seri dengan beban akan menunjukkan impedansi tinggi terhadap frekuensi harmonik tertentu sehingga dapat menghambat aliran harmonik ke arah beban. Namun, dalam praktiknya, konfigurasi shunt (paralel) jauh lebih umum digunakan.
Pada konfigurasi shunt, filter dipasang paralel terhadap beban dan akan menyediakan jalur impedansi rendah bagi arus harmonik, sehingga arus harmonik akan dialirkan ke tanah (ground). Selain itu, filter ini juga dapat menyediakan daya reaktif kapasitif pada frekuensi dasar, yang sekaligus dapat digunakan untuk memperbaiki faktor daya sistem.
———————————————
Pengertian Desain Filter Harmonisa Pasif
Desain filter pasif harmonisa merujuk pada proses perencanaan teknis dan perhitungan komponen L dan C yang akan digunakan, berdasarkan karakteristik harmonisa yang terjadi pada sistem. Tujuan utama dari desain ini adalah untuk menciptakan filter yang mampu menyerap harmonisa dominan secara efektif, tanpa menimbulkan efek samping seperti resonansi paralel atau overloading komponen.
Beberapa hal penting yang menjadi pertimbangan dalam mendesain filter pasif antara lain:
- Menentukan frekuensi tuning filter berdasarkan harmonisa dominan (misalnya harmonisa ke-5 atau ke-7),
- Menghitung kapasitansi dan induktansi yang diperlukan agar filter beresonansi pada frekuensi target,
- Memastikan bahwa filter tetap stabil dan aman dalam berbagai kondisi operasi, baik saat sistem normal maupun saat terjadi gangguan atau variasi beban.
Dengan desain yang tepat, filter pasif harmonisa dapat menjadi solusi yang efisien dan andal untuk menjaga kualitas daya, khususnya pada sistem distribusi industri yang memiliki beban nonlinear dalam jumlah signifikan.
———————————————
Jenis-Jenis Filter Harmonik Pasif
Terdapat beberapa jenis filter harmonisa pasif yang umum digunakan dalam sistem tenaga, masing-masing dengan karakteristik, kelebihan, dan area aplikasi tersendiri. Pemilihan jenis filter yang tepat sangat bergantung pada spektrum harmonik yang ingin dikendalikan serta efisiensi dan batasan teknis dari sistem itu sendiri.
Berikut ini adalah tiga jenis filter harmonisa pasif yang paling sering diterapkan di industri:
Single-Tuned Filter

Single-Tuned Filter merupakan jenis filter pasif yang paling sederhana dan paling banyak digunakan di dunia industri. Filter ini dirancang untuk menyerap satu orde harmonik spesifik, seperti harmonisa ke-5, ke-7, atau ke-11. Prinsip kerjanya adalah menciptakan impedansi sangat rendah pada frekuensi tuning, sehingga arus harmonik pada frekuensi tersebut langsung “ditarik” ke ground melalui filter.
Beberapa parameter utama dalam desain Single-Tuned Filter adalah:
- Orde harmonik target,
- Nilai daya reaktif (kVAR) yang akan disuplai, dan
- Faktor kualitas (Q factor), yang menunjukkan bandwidth atau selektivitas penyaringan. Nilai Q umumnya berada di antara 30–60.
Kelebihan Single-Tuned Filter:
- Menyediakan penyaringan hampir sempurna pada frekuensi target.
- Struktur sederhana dan ekonomis.
Kekurangan Single-Tuned Filter:
- Kurang efektif untuk harmonisa di atas frekuensi tuning.
- Resonansi paralel dengan sistem dapat muncul pada frekuensi sedikit di bawah titik tuning, dan berpotensi memperkuat harmonisa lain jika tidak diantisipasi sejak awal.
High-Pass Filter

High-Pass Filter dirancang untuk menyerap harmonisa berfrekuensi tinggi, biasanya mulai dari harmonisa ke-7 atau ke-11 ke atas. Filter ini memiliki karakteristik impedansi yang semakin rendah seiring meningkatnya frekuensi, sehingga cocok digunakan untuk spektrum harmonik yang luas.
Karakteristik High-Pass Filter yang penting meliputi:
- Resistor berfungsi untuk membatasi impedansi maksimum di frekuensi tinggi (asymptotic limit),
- Bandwidth-nya ditentukan oleh Q-factor rendah (sekitar 5–2.0),
- Cocok untuk meredam high frequency notch-type oscillations.
Catatan penting:
Karena resistor dalam High-Pass Filter menyerap daya pada frekuensi dasar, High-Pass Filter kurang cocok untuk menyaring harmonisa orde rendah (≤5), karena akan menyebabkan konsumsi daya reaktif yang besar.
C-Type Filter

C-Type memiliki struktur mirip HPF namun dengan L dan C tambahan yang membentuk resonansi paralel terhadap resistor pada frekuensi dasar. Hal ini membuat arus pada frekuensi 50/60 Hz tidak mengalir melalui resistor, sehingga tidak terjadi rugi daya (losses) pada frekuensi dasar.
Keunggulan C-Type:
- Efisiensi tinggi untuk harmonisa orde rendah,
- Konsumsi daya resistor hampir nol pada kondisi normal,
- Cocok untuk aplikasi beban berat harmonik seperti electric arc furnace atau cycloconverter.
C-Type umumnya digunakan saat dibutuhkan redaman ekstra namun tetap mempertahankan efisiensi sistem, terutama di sistem industri berat.
———————————————
Contoh Perhitungan Filter Harmonisa Pasif

Untuk memahami lebih lanjut proses desain filter harmonisa pasif, berikut disajikan studi kasus numerik berdasarkan panduan dalam IEEE Std 1531-2020.
Sebuah beban industri dengan daya sebesar 30 MVA disuplai dari bus 34,5 kV. Tingkat gangguan tiga fasa simetris pada bus adalah 10.000 A (10 kA). Beban tersebut memiliki faktor daya (power factor) awal sebesar 0,85 lagging, dan diharapkan dapat dinaikkan menjadi 0,95. Selain itu, beban ini merupakan sumber arus harmonisa, sehingga kapasitor yang akan dipasang tidak hanya berfungsi untuk koreksi faktor daya, tetapi juga harus didisain sebagai filter harmonisa.
Langkah 1: Menentukan kVAR Size dari Harmonic Filter Bank
Langkah pertama dalam mendesain filter harmonisa pasif adalah menghitung kebutuhan daya reaktif (kVAR) yang diperlukan untuk meningkatkan faktor daya (power factor) dari sistem. Pada studi kasus ini, beban industri sebesar 30 MVA disuplai dari bus 34,5 kV, dengan faktor daya awal sebesar 0,85 lagging, dan ditargetkan untuk ditingkatkan menjadi 0,95.
Menurut panduan IEEE Std 1036, nilai daya reaktif kompensasi dapat dihitung berdasarkan daya nyata (kW) dan faktor koreksi yang bergantung pada nilai faktor daya awal dan akhir. Karena informasi daya aktif (kW) tidak diberikan langsung, maka digunakan pendekatan berdasarkan daya semu (kVA) dan faktor daya awal.

- Angka 0,291 merupakan faktor pengali dari IEEE Std 1036 yang sesuai untuk konversi dari PF 0,85 ke 0,95.
- Hasil perhitungan menunjukkan bahwa dibutuhkan 7420 kVAR (atau 7,4 MVAR) kapasitor untuk mengkompensasi daya reaktif dan mencapai target faktor daya.
Langkah 2: Menentukan Tuning Awal Filter Harmonisa
Setelah kebutuhan daya reaktif ditentukan, langkah selanjutnya dalam desain filter harmonisa pasif adalah menentukan frekuensi tuning awal, yaitu frekuensi di mana filter akan memiliki impedansi paling rendah dan efektif dalam menyerap arus harmonik.
Dalam praktiknya, filter harmonisa pasif umumnya disetel sedikit di bawah frekuensi harmonik dominan. Hal ini untuk mencegah resonansi paralel dan memperluas efektivitas penyaringan. Menurut IEEE Std 1531, tuning biasanya dilakukan sekitar 3% hingga 15% di bawah frekuensi harmonik target.
Pada studi kasus ini, filter dirancang untuk menyerap harmonik ke-5. Namun, penyetelan dilakukan sekitar 6% di bawah 300 Hz, yaitu pada frekuensi 282 Hz. Dengan sistem 60 Hz, ini ekuivalen dengan faktor tuning h = 4,7.
Impedansi efektif filter bank (Xeff) dihitung menggunakan rumus:

Setelah diketahui Xeff, reaktansi kapasitif pada frekuensi dasar (Xc) dihitung dengan rumus:

Setelah diperoleh nilai Xc, reaktansi induktif pada frekuensi dasar (XL) dapat dihitung sebagai berikut:

Langkah 3: Optimasi Konfigurasi Filter agar Sesuai Pedoman Harmonisa
Setelah nilai kapasitansi dan induktansi dari filter harmonisa pasif ditentukan, langkah selanjutnya adalah melakukan analisis harmonisa untuk mengevaluasi apakah konfigurasi yang dirancang mampu mereduksi distorsi harmonisa sesuai standar yang berlaku, seperti yang diatur dalam IEEE Std 519 dan IEEE Std 399 (Brown Book).
Analisis ini umumnya dilakukan menggunakan perangkat lunak simulasi harmonik, untuk memodelkan respons filter terhadap berbagai kondisi sistem dan spektrum harmonisa aktual. Tujuannya adalah memastikan bahwa tegangan dan arus harmonisa di sistem tetap berada dalam batas toleransi standar.
Selama proses evaluasi, beberapa hal berikut harus diperhatikan:
- Jika level distorsi harmonik masih melebihi batas, maka:
- Nilai kapasitansi filter dapat ditingkatkan untuk memperluas bandwidth penyaringan,
- Filter dapat disetel ulang ke frekuensi lain yang lebih efektif,
- Atau perlu ditambahkan lebih dari satu filter dengan frekuensi tuning yang berbeda untuk menutupi berbagai frekuensi harmonik dominan.
- Jika performa sudah sesuai, maka desain dapat dilanjutkan ke tahap penentuan spesifikasi komponen final (rating kapasitor, reaktor, dan resistor).
Langkah 4: Menentukan Rating Komponen Filter
1) Kapasitor Filter Harmonisa
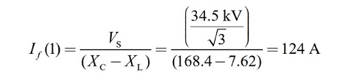
Penentuan rating komponen kapasitor dalam filter harmonisa pasif dimulai dengan menghitung arus pada frekuensi dasar dari filter harmonisa. Untuk konfigurasi wye (bintang), Perhitungannya adalah sebagai berikut:

Dimana:
- VS adalah tegangan fasa sistem (fase ke netral),
- XC adalah reaktansi kapasitif pada frekuensi dasar,
- XL adalah reaktansi induktif pada frekuensi dasar.
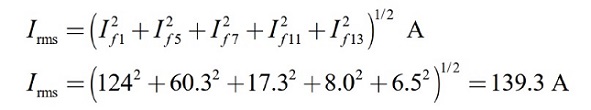
Selanjutnya, arus harmonik yang diperhitungkan adalah:
- Harmonik ke-5: 60,3 A
- Harmonik ke-7: 17,3 A
- Harmonik ke-11: 8,0 A
- Harmonik ke-13: 6,5 A
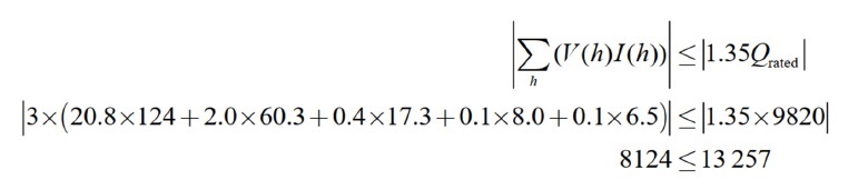
Total arus RMS yang melewati kapasitor dihitung dengan:

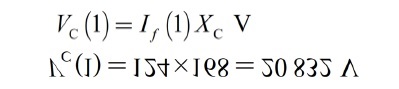
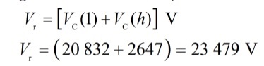
Tegangan fundamental yang muncul pada kapasitor diperoleh dari:

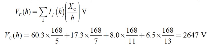
Tegangan harmonik yang muncul pada kapasitor akibat aliran arus harmonik diperoleh dari:

Sehingga tegangan total yang harus ditahan oleh kapasitor:

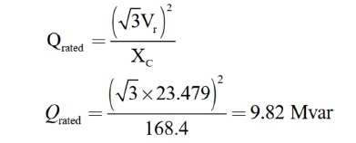
Dengan tegangan di atas, nilai kVAR nameplate kapasitor dapat dihitung:

Dan arus nominalnya:

Dimana:
- Qrated adalah rating 3-phasa kapasitor bank (MVAR),
- XC adalah reaktansi kapasitif kapasitor bank, per phasa (Ω).
Nilai ini sangat cocok dengan arus RMS aktual (139,3 A), yang berarti penggunaan kapasitor ini aman sesuai ketentuan IEEE Std 1036 (maks. 135% arus nominal).
Dielectric heating dievaluasi melalui persamaan berikut:

Hasil ini menunjukkan bahwa desain kapasitor memenuhi batas pemanasan dielektrik dengan margin yang aman.
2) Reaktor Filter Harmonisa
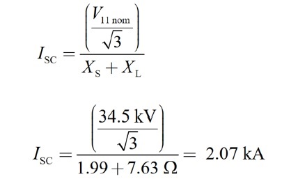
Dalam contoh ini, reaktansi reaktor filter telah dihitung sebelumnya sebesar 7,62 Ω (berdasarkan penyetelan pada harmonisa ke-4,7). Selain itu, arus harmonik yang dihasilkan oleh beban juga sudah diperoleh pada tahap sebelumnya. Namun, nilai arus hubung singkat sistem sebesar 10 kA di bus tidak serta merta menjadi acuan langsung untuk menentukan rating reaktor harmonisa. Yang digunakan justru adalah nilai arus hubung singkat simetral (symmetrical short-circuit current) spesifik untuk reaktor, dengan mempertimbangkan impedansi gabungan antara reaktor dan sistem.

Setelah impedansi sumber diketahui, nilai arus hubung singkat simetral yang dialami oleh reaktor filter dapat dihitung menggunakan persamaan berikut:

Sehingga, reaktor filter harmonisa harus memiliki rating arus hubung singkat minimum sebesar 2,07 kA dalam kondisi simetral. Nilai ini menjadi batas minimum yang harus dicapai untuk memastikan reaktor mampu menahan gangguan sesaat tanpa kerusakan.
Pertimbangan Tambahan:
- Durasi gangguan akan sangat tergantung pada karakteristik sistem proteksi, seperti waktu kerja relay dan pemutus sirkuit.
- Rating arus asimetris (asymmetrical short-circuit current) dapat ditentukan jika diperlukan, menggunakan rasio X/R sistem.
- Dalam praktik, nilai rasio kualitas (Q = X/R) dari reaktor filter harmonisa biasanya dirancang di atas 50, meskipun nilai pastinya tidak kritikal untuk sebagian besar desain standar.
- Untuk memastikan keandalan desain, simulasi digital dapat dilakukan untuk memverifikasi sensitivitas terhadap variasi parameter sistem (lihat langkah simulasi di tahapan sebelumnya).
3) Circuit Breaker atau Switch
Perlu dicatat bahwa spesifikasi arus hubung singkat pada peralatan switching berbeda dengan arus hubung singkat reaktor filter harmonisa.
Pada contoh ini, nilai arus gangguan di bus adalah sebesar 10 kA, dan nilai tersebut menjadi acuan utama untuk menentukan short-circuit rating dari perangkat switching (switch atau pemutus). Meskipun saklar kapasitor tidak dirancang untuk memutus arus hubung singkat (seperti yang wajib dilakukan oleh circuit breaker), namun perangkat ini tetap harus mampu menahan arus gangguan sesaat, khususnya saat proses:
- Close-and-latch, yaitu saat saklar pertama kali diaktifkan dan harus menutup pada kondisi sistem yang mungkin belum sepenuhnya stabil.
- Momentary current withstands, yaitu kemampuan menahan arus sesaat sebelum pemutusan dilakukan (jika diperlukan).
Selain itu, perancangan saklar juga harus mempertimbangkan skenario terburuk dari kombinasi berikut:
- Tegangan sistem maksimum, termasuk kemungkinan overvoltage akibat switching atau variasi beban mendadak.
- Toleransi kapasitansi, yang bisa mempengaruhi nilai arus inrush pada saat switching kapasitor.
- Kandungan harmonisa, karena arus harmonik dengan frekuensi tinggi dapat memperbesar tegangan transien saat proses switching.
———————————————
Contoh Perhitungan Filter Single-Tuned

Dengan studi kasus yang sama dengan contoh perhitungan yang terdapat pada IEEE Std. 1531-2020, berikut ini adalah Langkah-langkah Best Practice dalam mendesain single tuned pasif filter:
Langkah 1: Menentukan Daya Reaktif Kapasitor
Langkah pertama dalam perancangan single tuned harmonic filter adalah menentukan kebutuhan daya reaktif kapasitif yang diperlukan untuk mencapai faktor daya yang diinginkan. Kebutuhan ini dihitung berdasarkan perubahan faktor daya sistem sebelum dan sesudah pemasangan filter harmonisa.
Daya reaktif yang efektif dari filter harmonik (disebut Qeff) umumnya dihitung menggunakan pendekatan perubahan sudut fasa akibat perubahan faktor daya, dengan rumus sebagai berikut:

Keterangan:
- Qeff: Daya reaktif efektif dari filter harmonisa (VAR)
- P: Daya aktif sistem (W)
- φawal: Faktor daya sebelum pemasangan filter
- φtarget: Faktor daya yang diinginkan
Langkah 2: Menentukan Reaktansi Kapasitif
Dalam perancangan filter harmonisa pasif tipe single tuned, frekuensi tuning umumnya disesuaikan dengan harmonik dominan yang ingin diredam. Filter biasanya disetel antara 3% hingga 15% di bawah frekuensi harmonik yang menjadi target. Penyetelan ini dilakukan untuk mencegah terjadinya resonansi paralel dengan sistem dan untuk menghindari penyerapan arus harmonik secara berlebihan.
Misalnya, dalam kasus ini filter dirancang untuk menargetkan harmonik ke-11. Maka, reaktansi efektif dari kapasitor dapat dihitung menggunakan persamaan berikut:

Langkah 3: Menentukan Kapasitansi Kapasitor
Setelah diperoleh nilai reaktansi kapasitif dari langkah sebelumnya, maka tahap selanjutnya dalam desain filter harmonisa tipe single tuned adalah menentukan nilai kapasitansi (C) dari bank kapasitor yang akan digunakan. Nilai kapasitansi ini dihitung berdasarkan hubungan dasar antara reaktansi kapasitif dan frekuensi, yaitu:

Langkah 4: Menentukan Reaktansi Induktif
Setelah kapasitansi ditentukan, langkah selanjutnya dalam perancangan single tuned filter adalah menentukan nilai reaktansi induktif dari reaktor seri pada frekuensi fundamental. Nilai ini penting untuk membentuk rangkaian resonansi seri dengan kapasitor, sehingga filter dapat bekerja secara optimal dalam menyerap harmonisa pada orde tertentu.
Perhitungan reaktansi induktif dilakukan menggunakan rumus:

Langkah 5: Menentukan Kapasitansi Induktor
Setelah diketahui reaktansi induktif pada frekuensi fundamental, langkah berikutnya adalah menghitung nilai induktansi dari reaktor yang digunakan dalam rangkaian single tuned filter. Nilai induktansi ini akan menentukan frekuensi resonansi dari filter, sehingga harus sesuai dengan orde harmonisa yang ditargetkan (dalam contoh ini adalah harmonisa ke-11, dengan tuning pada 10,8).

Langkah 6: Menentukan Kapasitansi Resistor
Setelah komponen kapasitor dan induktor ditentukan, tahap selanjutnya dalam desain single tuned filter adalah menentukan nilai resistansi (R) dari filter.
Dengan penentuan nilai kualitas factor (Qf), maka persamaan untuk mencari nilai resistansi (R) sebagai berikut:

———————————————
Referensi
- IEEE 3002.8-2018: Recommended Practice for Conducting Harmonic Studies and Analysis of Industrial and Commercial Power Systems
- IEEE 1531-2020: IEEE Guide for the Application and Specification of Harmonic Filters
- IEEE Std 519-2014: Recommended Practice and Requirements for Harmonic Control in Electric Power Systems
———————————————
Hubungi Omazaki Engineering bila Anda mencari desainer atau konsultan jasa perancangan atau desain filter harmonik atau harmonisa pasif atau perancangan filter harmonisa pasif untuk sistem kelistrikan fasilitas Industri dan komersial di Indonesia dan Asia Tenggara.
———————————————



